Sweep Plates


Sweep system that will be used on MST has been preliminary simulated, using MATLAB and C programming.


What's new !

1. Primary sweep plates

a) Basic structure of the primary sweep plates

b) Radial sweep (not the same scale)

c) Radial sweep (same scale)

d) Toroidal sweep (not the same scale)

One may want to see the trajectory near the hole place

e) Trajectory near the hole


2. Secondary sweep plates

a) To see the trajectories fly out of the exit without sweep

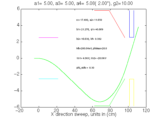
b) Look at the X sweep effect 2-D display

c) Have a cross section view of the trajectories before sweep

d) Have a cross section view of the trajectories after 1st sweep

e) Look at the Y sweep effect 2-D display

Look at the Y sweep effect 2-D display (2 pair plates)
Look at the Y sweep effect 2-D display (1 pair plates)

f) Have a look at trajectories in 3-D space after 2 directions' sweep

g) Have a cross section view of the trajectories after 2nd sweep